
Alternatives to Acephate for Thrips and Dealing With Lackluster Management
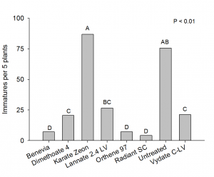
I’ve been fielding a lot of calls concerning the effectiveness of acephate for thrips. Remember that our seed treatments …
Due to limited staff in the office, we may be closed at times. Please call (252)358-7822. We apologize for any inconvenience.
Extension and research at NC State address timely issues impacting our state. Extension delivers trusted information directly into the hands of farmers and agribusinesses, helping them translate knowledge into solutions that grow our economy and communities.
El inglés es el idioma de control de esta página. En la medida en que haya algún conflicto entre la traducción al inglés y la traducción, el inglés prevalece.
Al hacer clic en el enlace de traducción se activa un servicio de traducción gratuito para convertir la página al español. Al igual que con cualquier traducción por Internet, la conversión no es sensible al contexto y puede que no traduzca el texto en su significado original. NC State Extension no garantiza la exactitud del texto traducido. Por favor, tenga en cuenta que algunas aplicaciones y/o servicios pueden no funcionar como se espera cuando se traducen.
Inglês é o idioma de controle desta página. Na medida que haja algum conflito entre o texto original em Inglês e a tradução, o Inglês prevalece.
Ao clicar no link de tradução, um serviço gratuito de tradução será ativado para converter a página para o Português. Como em qualquer tradução pela internet, a conversão não é sensivel ao contexto e pode não ocorrer a tradução para o significado orginal. O serviço de Extensão da Carolina do Norte (NC State Extension) não garante a exatidão do texto traduzido. Por favor, observe que algumas funções ou serviços podem não funcionar como esperado após a tradução.
English is the controlling language of this page. To the extent there is any conflict between the English text and the translation, English controls.
Clicking on the translation link activates a free translation service to convert the page to Spanish. As with any Internet translation, the conversion is not context-sensitive and may not translate the text to its original meaning. NC State Extension does not guarantee the accuracy of the translated text. Please note that some applications and/or services may not function as expected when translated.
Collapse ▲
I’ve been fielding a lot of calls concerning the effectiveness of acephate for thrips. Remember that our seed treatments …

Plants have grown quite a bit in the last week, likely due to increased rainfall. There were a couple of …

I had a chance to scout some more cotton this week and it looks like numbers are picking up …

It is week three monitoring the Integrated Pest Management fields and the grower standard fields in our Eastern and …

Blueberries and blackberries are getting close to ripening in North Carolina, and I have fielded a few questions from …

It is week two for scouting in our Eastern 1 and 2 research fields. In order to potentially reduce …

Tobacco growers often apply insecticides in the greenhouse or at transplant to preventatively manage populations of green peach aphids …

This summer, we have begun a new project focussed on implementing integrated pest management (IPM) practices for insects in …
Introduction In recent growing seasons, boron (B) nutrition has become an increasing issue …

A few growers are starting to harvest strawberries in North Carolina, and as fruit ripen, now is the time …

This year, we’ve begun a project to determine the frequency and significance of strawberry clipper damage in annual plasticulture …

Vineyard establishment involves careful planning, thorough site preparation, vineyard design, planting, and trellis construction. Unlike …

Grapes grown in North Carolina are sometimes exposed to unfavorable climatic conditions and biological pests …

This manual prepares pesticide applicators for Forest Pest Control Certification exams in the following states: …

This manual provides guidance tailored for North Carolina's non-commercial pesticide applicators using fumigants in commodity …
This chapter of the Farm to Early Care and Education Resource Guide for North Carolina …
Including sloped screens for solid-liquid manure separation can have positive impacts on manure management systems …
Screw press separators can divide a single by-product stream into a solid and liquid stream …
This factsheet summarizes key technologies used to produce pellets from animal manures and the impact …